센터활동_가정통신문
포토갤러리
동영상
월간계획안
가정통신문

가정통신문

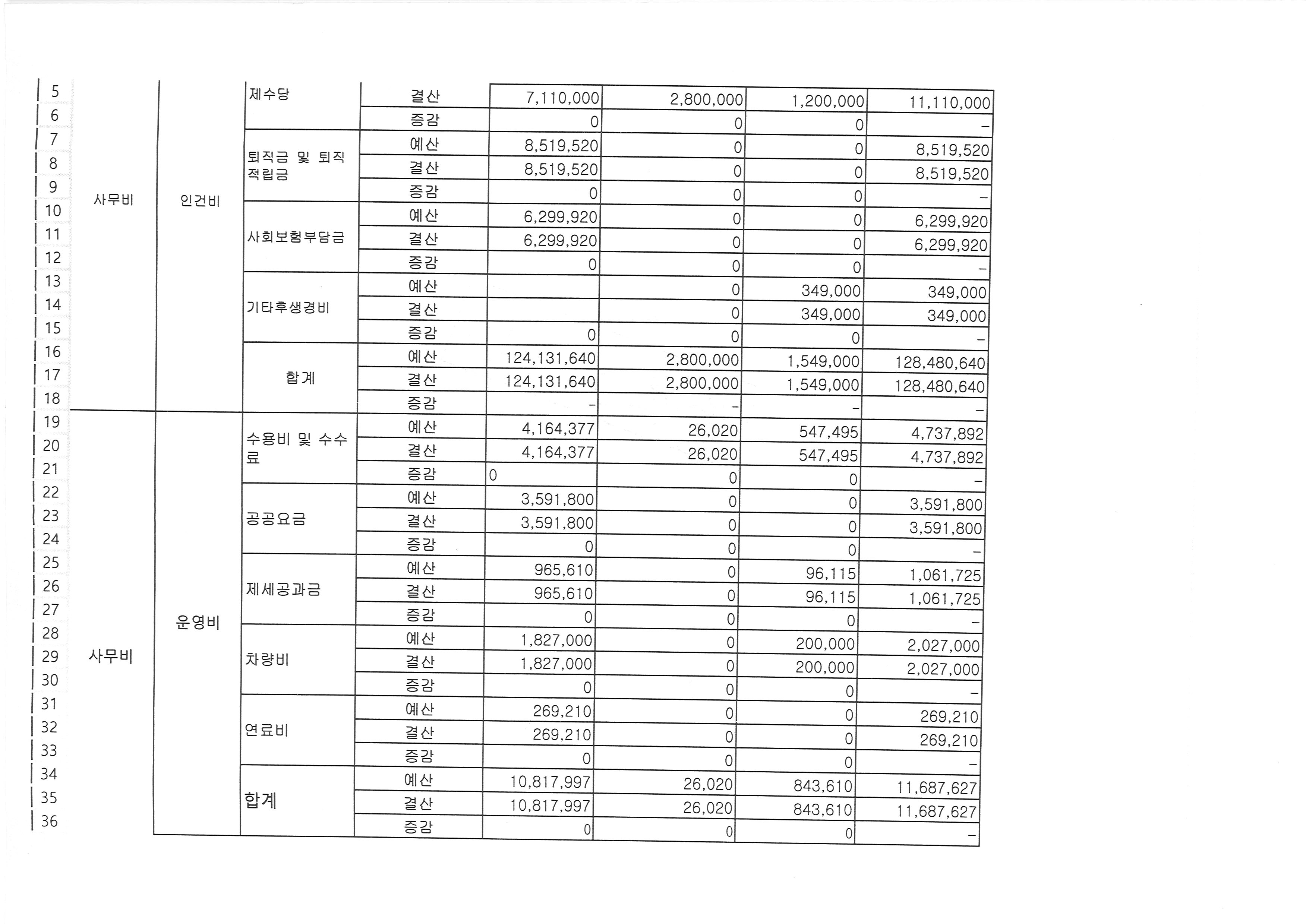
제목25년 세입세출 결산보고 올립니다2026-03-10 15:14
작성자 Level 5
첨부파일2025세입세출결산액-새미실.pdf (197.8KB)

1727_260310153046_001.jpg
1727_260310153046_002.jpg
1727_260310153046_003.jpg
1727_260310153046_004.jpg


 

error: Content is protected !!
위로 스크롤